Examenul De Bacalaureat 2019 Proba C Engleza





Modele Edu Bac 2019 Competențe Engleză Franceză Germană Proba C Modele 2018 2017 2016 Jitaruionelblog Pregatire Bac Si Evaluarea Nationala 2021 La Matematica Si Alte Materii Materiale Lectii Formule Exercitii Rezolvate

Modele Edu Bac 2019 Competențe Engleză Franceză Germană Proba C Modele 2018 2017 2016 Jitaruionelblog Pregatire Bac Si Evaluarea Nationala 2021 La Matematica Si Alte Materii Materiale Lectii Formule Exercitii Rezolvate

Subiecte Competențe Lingvistice 2019 Bac Engleză Franceză Germană Spaniolă Italiană

Subiecte Competențe Lingvistice 2019 Bac Engleză Franceză Germană Spaniolă Italiană

Bacalaureat 2019 Ce Subiecte Au Căzut La Proba Orală A Limbii Engleze Impact

Bacalaureat 2019 Ce Subiecte Au Căzut La Proba Orală A Limbii Engleze Impact

Bacalaureat 2019 Modele Subiecte La Proba De Compentețe Lingvistice Antena 1

Bacalaureat 2019 Modele Subiecte La Proba De Compentețe Lingvistice Antena 1

C Engleza Scris Model Subiect

C Engleza Scris Model Subiect

Bacalaureat 2018 Model De Subiect Pentru Proba Orală De Limba Engleză Libertatea

Bacalaureat 2018 Model De Subiect Pentru Proba Orală De Limba Engleză Libertatea

Bacalaureat 2018 Model De Subiect Pentru Proba Orală De Limba Engleză Libertatea

Examenul de bacalaureat național 2019 proba c de evaluare a competențelor lingvistice într o limbă de circulație internațională studiată pe parcursul învățământului liceal proba de înțelegere a unui text audiat la limba engleză toate filierele profilurile și specializările calificările model de subiect bacalaureat 2019.

Examenul de bacalaureat 2019 proba c engleza. Vor putea fi folosite ca model de elevii care urmează să dea în vara lui 2019 probele orale şi cele scrise. Absolvenții de liceu vor susține această probă pentru mai multe limbi de circulație internațională cei mai mulți optând însă pentru limba engleză. Centrul naţional de evaluare şi examinare proba c limba engleză barem de evaluare 1 examenul de bacalaureat naţional 2019 proba c de evaluare a competenţelor lingvistice într o limbă de circulaţie internaională studiată pe parcursul învăământului liceal proba orală la limba engleză. Model de subiect si barem limba engleza proba scrisa bacalaureat 2019 model de subiect si barem limba engleza proba orala bacalaureat 2019 examenul de bacalaureat național 2019 proba c de evaluare a competențelor lingvistice într o limbă de circulație internațion.

Barem de evaluare 1 examenul de bacalaureat naţional 2019 proba c de evaluare a competenţelor lingvistice într o limbă de circulaţie internaională studiată pe parcursul învăământului liceal proba scrisă la limba engleză toate filierele profilurile şi specializările calificările barem de evaluare model se punctează oricare. Conform situației centralizate 135 655 de absolvenți de liceu 116 037 din promoția curentă și 19 618 din seriile anterioare s au înscris pentru a susține examenul național de bacalaureat 2019 în prima sesiune care începe luni 3 iunie cu proba de evaluare a competențelor lingvistice de comunicare orală în limba română proba a. Proba c limba engleză model barem de evaluare examenul de bacalaureat naţional 2019 proba c de evaluare a competenţelor lingvistice într o limbă de circulaţie internaională studiată pe parcursul învăământului liceal proba de înţelegere a unui text audiat la limba engleză toate filierele profilurile şi specializările. și anume vorbim despre proba proba de înțelegere a unui text audiat proba scrisă și proba orală.

Examenul de bacalaureat naţional 2019 proba c de evaluare a competenţelor lingvistice într o limbă de circulaţie internaţională studiată pe parcursul învăţământului liceal proba scrisă la limba engleză toate filierele profilurile şi specializările calificările model toate subiectele sunt obligatorii. Modelele de subiecte pentru examenul de bacalaureat de anul viitor au fost date publicităţii de ministerul educaţiei. Model de subiect si barem limba engleza proba scrisa bacalaureat 2019 model de subiect si barem limba engleza proba orala bacalaureat 2019 examenul de bacalaureat național 2019 proba c de evaluare a competențelor lingvistice într o limbă de circulație internațion.

Bac 2019 Examenul De Bacalaureat A Inceput Luni Cu Proba Orală La Limba Romană Reguli Modele De Subiecte și Interdicții In Sala De Examen Sparknews Ro

Bac 2019 Examenul De Bacalaureat A Inceput Luni Cu Proba Orală La Limba Romană Reguli Modele De Subiecte și Interdicții In Sala De Examen Sparknews Ro

Proba C Limba Engleza Oral 1 Iunie

Proba C Limba Engleza Oral 1 Iunie

Bacalaureat 2018 Model De Subiect Pentru Proba Orală De Limba Engleză Libertatea

Bacalaureat 2018 Model De Subiect Pentru Proba Orală De Limba Engleză Libertatea

Bacalaureat 2019 Subiecte La Proba Orală La Limba Străină

Bacalaureat 2019 Subiecte La Proba Orală La Limba Străină

Bacalaureat 2019 Ce Subiecte Au Căzut La Proba Orală A Limbii Engleze Impact

Bacalaureat 2019 Ce Subiecte Au Căzut La Proba Orală A Limbii Engleze Impact

Model Engleză Bilet Oral

Model Engleză Bilet Oral

Bac 2019 Examenul De Bacalaureat A Inceput Luni Cu Proba Orală La Limba Romană Reguli Modele De Subiecte și Interdicții In Sala De Examen Sparknews Ro

Bac 2019 Examenul De Bacalaureat A Inceput Luni Cu Proba Orală La Limba Romană Reguli Modele De Subiecte și Interdicții In Sala De Examen Sparknews Ro

Bacalaureat 2019 Subiecte La Proba Orală La Limba Străină

Bacalaureat 2019 Subiecte La Proba Orală La Limba Străină

Sesiunea Speciala Bac 2019 Proba E D Subiecte Si Bareme Din 29 05 2019 Edu Ro Jitaruionelblog Pregatire Bac Si Evaluarea Nationala 2021 La Matematica Si Alte Materii Materiale Lectii Formule Exercitii Rezolvate Matematica Gimnaziu

Sesiunea Speciala Bac 2019 Proba E D Subiecte Si Bareme Din 29 05 2019 Edu Ro Jitaruionelblog Pregatire Bac Si Evaluarea Nationala 2021 La Matematica Si Alte Materii Materiale Lectii Formule Exercitii Rezolvate Matematica Gimnaziu

Bacalaureat 2018 Model De Subiect Pentru Proba Orală De Limba Engleză Libertatea

Bacalaureat 2018 Model De Subiect Pentru Proba Orală De Limba Engleză Libertatea

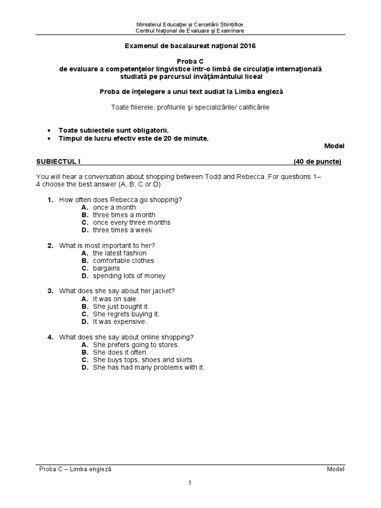
C Limba Engleza Audio Text 2016 Model Subiect

C Limba Engleza Audio Text 2016 Model Subiect

Proba C Limba Engleza Oral 1 Iunie

Proba C Limba Engleza Oral 1 Iunie

Bacalaureat 2019 Subiecte La Proba Orală La Limba Străină

Bacalaureat 2019 Subiecte La Proba Orală La Limba Străină

Bac 2018 Modele De Subiecte Pentru Examenele Orale Din Februarie Absolventii De Liceu Sustin Luna Viitoare Competentele Lingvistice Si Digitale Hotnews Mobile

Bac 2018 Modele De Subiecte Pentru Examenele Orale Din Februarie Absolventii De Liceu Sustin Luna Viitoare Competentele Lingvistice Si Digitale Hotnews Mobile

Source : pinterest.com